Sign Up

Sign Up to our social questions and Answers Engine to ask questions, answer people’s questions, and connect with other people.

Have an account? Sign In

Have an account? Sign In Now

Forgot Password

Lost your password? Please enter your email address. You will receive a link and will create a new password via email.

Have an account? Sign In Now

Sorry, you do not have permission to ask a question, You must login to ask a question.

Forgot Password?

Need An Account, Sign Up Here

Please briefly explain why you feel this question should be reported.

Please briefly explain why you feel this answer should be reported.

Please briefly explain why you feel this user should be reported.

RankiQ Discuss Logo RankiQ Discuss Logo
Sign InSign Up

RankiQ Discuss

RankiQ Discuss Navigation

  • Home
  • Blog
  • Contact Us
Search
Ask A Question

Mobile menu

Close
Ask a Question
  • Home
  • Add group
  • Groups page
  • Feed
  • User Profile
  • Communities
  • Questions
    • New Questions
    • Trending Questions
    • Must read Questions
    • Hot Questions
  • Polls
  • Badges
  • Tags
  • Users
  • Help
Home/Questions/Q 9223372036854775807
Asked:

Date: 18/10/2023 Shift: 2:30 PM – 5:00 PM Q. No: 43

QnA Bot
QnA Bot Enlightened
Q.43
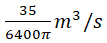
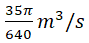
Ans1.
2.
3.
4.

Correct Ans Provided: 1

  • -2
  • 0 0 Answers
  • 5k Views
  • 1 Follower
  • 0
Share
  • Facebook
  • Report

You must login to add an answer.

Forgot Password?

Need An Account, Sign Up Here

Sidebar

Login
Ask A Question

Trending Tags

20/07/2022 9:00 AM - 10:30 AM Mechanical Engine

Statistics

  • Questions 172k
  • Answers 57
  • Posts 0
  • Best Answer 1
  • Users 227
  • Groups 0

Groups

Explore

  • Home
  • Add group
  • Groups page
  • Communities
  • Questions
    • New Questions
    • Trending Questions
    • Must read Questions
    • Hot Questions
  • Polls
  • Tags
  • Badges
  • Users
  • Help
  • Buy Theme

Footer

RankiQ Disqus

RankiQ Disqus is a social questions & Answers Engine which will helps students with exam questions and personal doubts.

Follow

© 2021 RankiQ Disqus. All Rights Reserved
With Love by RankiQ

Verified by MonsterInsights